The logic of chemical synthesis
下面内容摘抄自E. J. Corey “The logic of chemical synthesis”
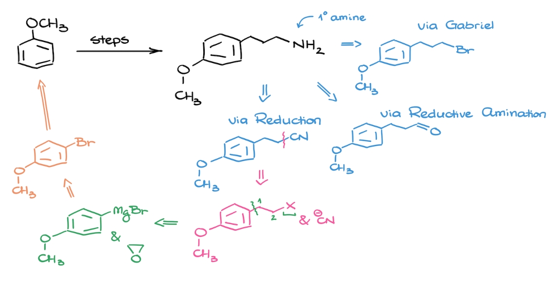
逆合成(或反合成, retrosynthetic analysis)分析是一种问题解决技术,用于将合成目标(TGT)分子的结构转化为一系列逐步简单化的结构, 最终导向简单或商业上可获得的化学合成起始材料。通过对目标结构应用逆向的合成反应(称为转化, retrocynthetic transformation), 实现将分子转化为合成前体的过程。从目标产物逆向派生出的每个结构本身又成为进一步分析的目标产物。 重复此过程最终会产生一棵以化学结构为节点的中间体树,并且从底部到顶部的路径对应于可能的TGT合成路线。
化学键的形成
| H | C | N | O | Si | P | S | B | |
| H | ||||||||
| C |
|
|
|
|||||
| N |
|
|
||||||
| O |
|
|
|
|||||
| Si | ||||||||
| P |
|
|||||||
| S | ||||||||
| F | ||||||||
| Cl | ||||||||
| Br | ||||||||
| I | ||||||||
| Sn | ||||||||
| Mg |