Chugaev 消除反应

Chugaev 消除反应

黄原酸热解((Xanthate ester pyrolysis)

重要性 机理 合成应用

重要性

[开创性文献1,2;综述3,4;改进与优化5-7]

Chugaev 消除反应是通过加热(100-250 °C)相应的黄原酸酯(至少含有一个 β-氢原子)发生顺式消除生成烯烃的过程。该反应由 L. Chugaev 于 1899 年首次报道1,作为其黄原酸光学性质研究的一部分。Chugaev 消除反应具有优越性,因为它能够在低温下将敏感的醇转化为烯烃,而不发生碳骨架重排。此外,与酯类的热消除相比,黄原酸酯的消除发生在更低的温度下,减少了烯烃的异构化。

Chugaev 消除反应示意图

机理8-12

Chugaev 反应是一个分子内顺式消除(Ei),通过一个六元环过渡态进行,涉及醇部分的顺式 β-氢原子和黄原酸中的硫酮硫原子。研究表明,过渡态中的环闭合是通过 C=S 键而非硫醇硫原子实现的。β-氢和黄原酸基团必须在环状过渡态中共面。

Chugaev 消除反应机理

合成应用

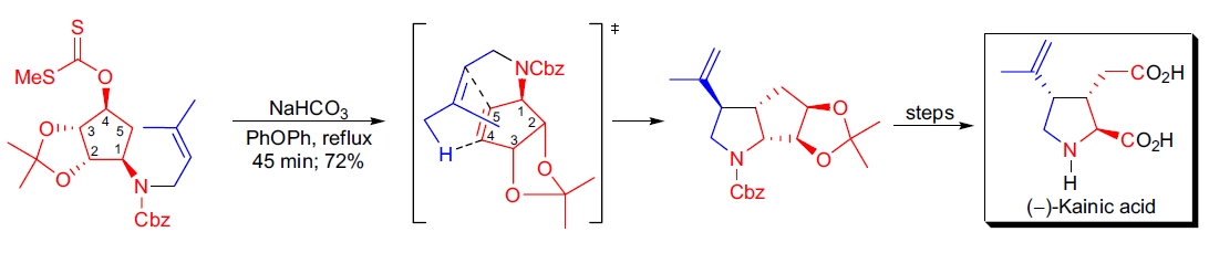
1. Kainic Acid 的简便合成:K. Ogasawara 等人在 kainic acid 的全合成中,通过顺式 Chugaev 消除反应和分子内 ene 反应作为关键步骤,成功制备了三环吡咯烷框架,单一构型产率达 72%13

Chugaev 应用1

2. Dihydroclerodin 的全合成:A. Groot 等人在二氢 Clerodin 的全合成后期,通过 Chugaev 消除反应在环 A 上引入了环外双键。利用黄原酸酯在 216 °C 的 n-十二烷中加热两天后,获得了目标产物,产率为 74%14

Chugaev 应用2

3. Solanapyrone E 的全合成:H. Hagiwara 等人利用 Chugaev 消除反应选择性地引入了天然产物 Decalin 环中的 C3-C4 双键,避免了不需要的 C4-C5 双键的生成15

Chugaev 应用3

4. Ellacene 的全合成:J.M. Cook 等人通过 Weiss 反应和 Chugaev 消除作为关键步骤,成功合成了 Ellacene。黄原酸酯的热解在 HMPA 中以 220-230 °C 进行,产率极高16

Chugaev 应用4