偶姻缩合
ACYLOIN CONDENSATION
重要性:
[开创性文献1-4;综述5-9;改进与优化10-22]
偶姻缩合通过将脂肪族酯与熔融的高度分散钠在热二甲苯中反应,制得醯醇(α-羟基酮)。8 所得的二钠醯醇衍生物经酸化后释放相应的醯醇,这些化合物是有价值的合成中间体。 脂肪族单酯给出对称化合物,而二酯则生成环状醯醇。分子内偶姻缩合是闭合10个以上环(可合成最多34个成员环)的最佳方法之一。6 对于芳香族醯醇(R=Ar)的制备,使用两种芳香醛之间的苯偶姻缩合。 由于醯醇及其阴离子易于被氧化,因此偶姻缩合在惰性气氛中进行。 对于小环(环的大小:4-6),在TMSCl存在下且使用超声波时,产率大大提高。11,13 加入TMSCl通过防止碱催化的副反应(如β-消除、Claisen或Dieckmann缩合),扩大了该反应的适用范围。 所得的双硅氧烯烃可被分离或通过简单的水解或醇解转化为醯醇。
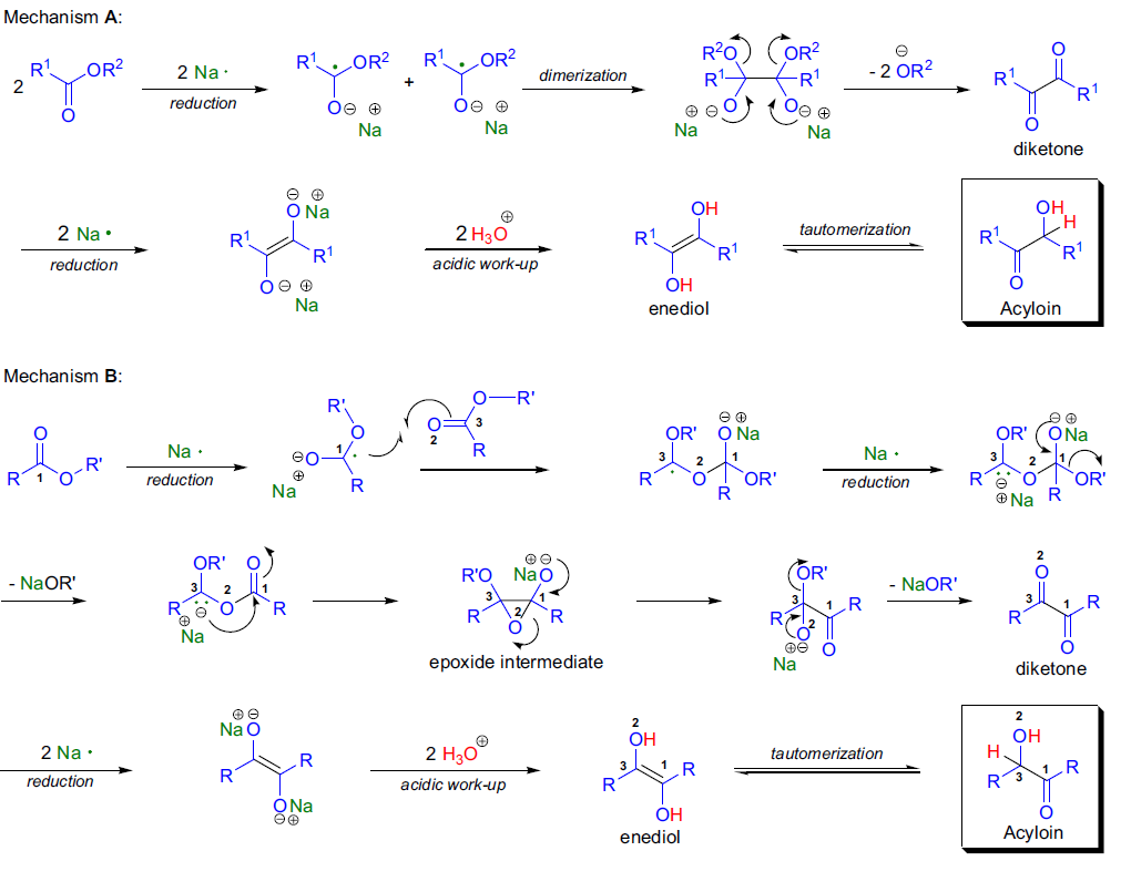
机理5,6,23
- 偶姻缩合反应目前有两种拟议的机理。
在机理A中,钠通过单电子转移(SET)过程与酯反应,生成自由基阴离子物种, 该物种可以二聚形成二烷氧二阴离子。5,6 消除两个烷氧阴离子后得到二酮。 进一步还原(钠金属向二酮转移电子)产生新的二阴离子,酸性处理后生成烯二醇, 随后互变异构为醯醇。 在机理B中,提出了环氧化物中间体的可能性。23
合成应用
J. Salaün等人研究了超声促进的偶姻缩合和羧酸酯的环化反应。13 他们发现,1,4-、1,5-和1,6-二酯的醯醇耦合反应生成了4、5和6元环产物。 在TMSCl存在下,β-氯代酯的环化反应生成3元环产物,该反应之前需要高度分散的钠, 而在声化学激活下得到简化和改进。
- 二萜生物碱 Anopterus属植物的二萜生物碱,其中主要成分是anopterine(R=tigloyl),具有较高的抗肿瘤活性。 所有这些生物碱都含有三环[3.3.21,4.0]癸烷的子结构。 S. Sieburth等人利用偶姻缩合作为该三环骨架短合成中的关键步骤。24