Baeyer-Villiger oxidation

Baeyer-Villiger oxidation

Baeyer-Villiger氧化反应

重要性 机理 合成应用

重要性

[开创性文献1;综述2-25;改进与优化26-36;理论研究37-48]

Baeyer-Villiger oxidation overview

Baeyer-Villiger氧化反应将酮转化为酯,将环酮转化为内酯或羟基酸。该反应由A. Baeyer和V. Villiger在1899年首次发现,并以他们的名字命名。

该氧化方法具有以下特点:

近来,研究重点集中在开发催化的Baeyer-Villiger氧化方法,同时保持反应的高区域和立体选择性。

一些最有前景的催化剂包括通过H2O2原位生成的取代亚硒酸(Syper方法)。28,34

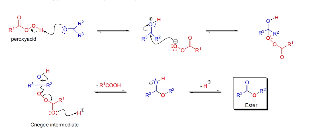
机理49-61

1953年,Doering和Dorfman通过标记实验阐明了反应机理,实验结果验证了1948年Criegee提出的假设。

机理的第一步是羰基的质子化以增加其亲电性,随后过氧酸加成形成所谓的Criegee中间体。

当羧酸(R1COOH)从中间体中离去时,形成一个电子缺失的氧取代基,该基团立即发生烷基迁移。

迁移步骤和羧酸的丢失以协同方式进行。

假设迁移基团必须位于过氧化物解离氧-氧键的反式共面位置,以实现最佳的σ键与σ*轨道的重叠(初级立体电子效应)。

Baeyer-Villiger oxidation mechanism

合成应用

J. Oh的研究表明,二氯亚甲基酮与葡糖醛的环加成反应,随后进行Baeyer-Villiger氧化,生成了双环γ-内酯(α-D-C-葡糖苷),进一步转化为C1-甲基葡糖醇衍生物62

Synthetic application 1

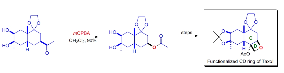
T.K.M. Shing实验室通过21步合成了Taxol®的功能化CD环,其中关键步骤包括Baeyer-Villiger氧化、Oppenhauer氧化、Meerwein-Ponndorf-Verley还原、立体特异性格氏试剂加成以及分子内SN2反应63

Synthetic application 2

A.P. Marchand等人开发了一种通用方法,通过Baeyer-Villiger氧化合成新型笼状杂环,通过将笼状酮中的羰基替换为环氧原子或CH2O基团实现了笼状醚的合成64

Synthetic application 3

F.W.J. Demnitz等人在顺式-3β-羟基-4,4,10β-三甲基-9-癸酮的Baeyer-Villiger氧化中观察到一种意外的重排现象。最初形成的环扩展内酯在三氟乙酸催化下发生内酯C-O键裂解,生成的叔碳正离子被游离羟基捕获,形成7-氧杂双环[2.2.1]庚烷衍生物65

Synthetic application 4