Baker-Venkataraman重排

Baker-Venkataraman rearrangement

Baker-Venkataraman重排

重要性 机理 合成应用

重要性

[开创性文献1-4;综述5-7;改进与优化8-17]

Baker-Venkataraman rearrangement overview

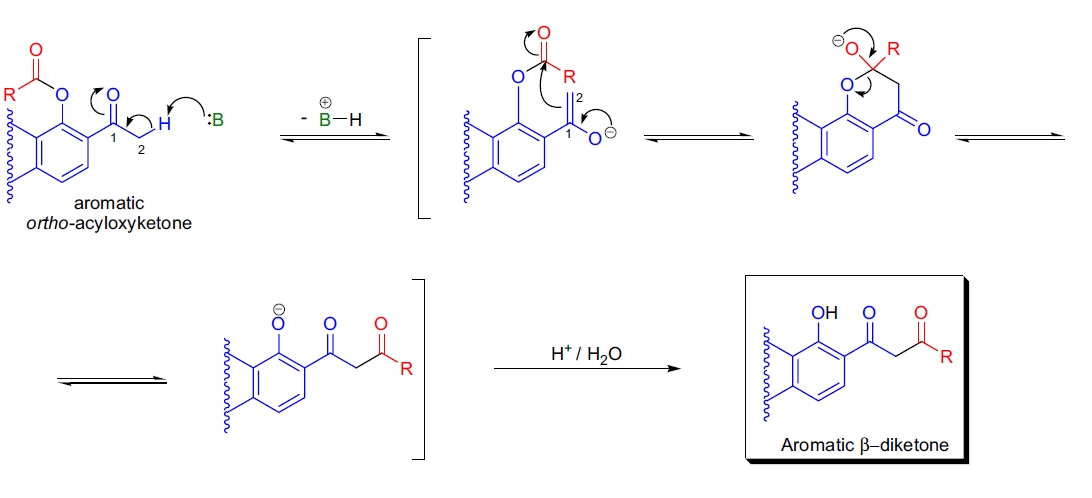
Baker-Venkataraman重排是芳香邻位酰氧基酮在碱催化下重排为相应芳香β-二酮的反应。

β-二酮是重要的合成中间体,广泛用于合成色酮、黄酮、异黄酮和香豆素。

常用的碱包括KOH、DMSO中的叔丁醇钾、甲苯中的钠金属、钠或钾氢化物、吡啶和三苯甲基钠。

机理18-22

在该机理的第一步中,芳香酮在α-碳处去质子化,形成烯醇负离子。

此亲核试剂分子内进攻酰氧基部分的羰基,生成四面体中间体,该中间体随后分解生成芳香β-二酮。

Baker-Venkataraman rearrangement mechanism

合成应用

K. Krohn实验室利用邻位乙酰蒽醌酯的Baker-Venkataraman重排,在氢化锂存在下,完成了aklanonic酸及其衍生物的全合成23

该方法简化了蒽醌上酮基侧链的引入。

Synthetic application 1

V. Snieckus等人开发了一种新的羰基Baker-Venkataraman重排方法,能够以中等至良好的总收率合成取代的4-羟基香豆素16

中间体芳基酮通过定向邻位金属化和Negishi交叉偶联有效制备。

该序列为邻位酰基苯酚和香豆素的构建提供了区域专一性阴离子Friedel-Crafts互补方法。

Synthetic application 2

Stigmatellin A是线粒体和叶绿体中电子传递的强抑制剂。在该重要天然产物的全合成中,D. Enders等人利用Baker-Venkataraman重排以良好产率构建色酮体系24

Synthetic application 3

S. Ruchiwarat实验室开发了一种高效且操作简单的多米诺反应,用于合成苯并[b]并[2,1-e]吡喃-10,11-二酮25

通过在吡啶中加热KOH对起始材料进行Baker-Venkataraman重排,仅需回流30分钟即可完成芳酰转移。

Synthetic application 4