Clemmensen 还原反应

Clemmensen 还原反应

重要性 机理 合成应用

重要性

[开创性文献1,2;综述3-9;改进与优化10-13]

Clemmensen 还原反应由 E. Clemmensen 于 1913 年首次报道,描述了简单酮和醛与 40% 盐酸、锌汞齐(Zn/Hg)以及疏水性有机助溶剂(如甲苯)共热数小时后生成相应烷烃的过程1。此方法将羰基转化为亚甲基,在经典的有机合成中得到广泛应用。然而,该反应对酸敏感底物和多官能团化合物的适应性较差,因此在原有方法的基础上进行了多种改进,开发了温和条件下对酸敏感化合物更友好的反应条件10-13

Clemmensen 还原反应示意图

机理14-27

Clemmensen 还原反应的机理尚不完全清楚。研究表明,该反应需要锌参与但不依赖其他具有类似还原电势的金属。早期机制假设该反应为逐步过程,涉及有机锌中间体的生成15-17。目前的两种主要机理假设分别为:1)锌与氯离子对羰基的亲核进攻形成负碳离子中间体;2)涉及自由基中间体的异质过程。尽管简单的脂肪醇在反应条件下不被还原为烷烃,但烯丙醇和苄醇可顺利发生 Clemmensen 还原反应14,21

Clemmensen 还原反应机理

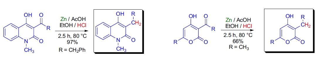
合成应用

1. 1,3-二羰基化合物的还原:T. Kappe 等人研究了羰基取代的 1,3-二羰基化合物的 Clemmensen 还原反应,简便地合成了具有生物活性的烷基衍生物28

Clemmensen 应用1

2. Pumiliotoxin C 的全合成:C. Kibayashi 等人通过 Clemmensen 还原反应完成了(–)-Pumiliotoxin C 的全合成,成功去除了羰基并生成了去氧化产物的 2:1 对映体混合物29

Clemmensen 应用2

3. Lepadiformine 的合成:S.M. Weinreb 等人在合成海洋生物碱 lepadiformine 的过程中,利用 Clemmensen 还原去除了三环哌啶酮中间体的羰基30

Clemmensen 应用3

4. 新型四环十一烷衍生物的合成:F.J.C. Martins 实验室通过 Clemmensen 还原成功合成了新型四环十一烷衍生物,去除了其中的羰基31

Clemmensen 应用4