Corey-Chaykovsky 反应

Corey-Chaykovsky 反应 (Corey-Chaykovsky reaction)

Corey-Chaykovsky 环氧化 (Corey-Chaykovsky epoxidation)

Corey-Chaykovsky 环丙烷化 (Corey-Chaykovsky propanation)

重要性 机理 合成应用

重要性

[开创性文献1,2;综述3-11;改进与优化12-14;理论研究15-17]

Corey-Chaykovsky 反应是一种利用硫叶立德与羰基化合物反应生成环氧化合物(或与 α,β-不饱和羰基化合物反应生成环丙烷)的高效合成方法。该反应于 1962 年由 E.J. Corey 和 M. Chaykovsky 首次报道,使用硫氧鎓盐或硫鎓盐生成硫叶立德,然后与底物反应生成环氧或环丙基化合物1-2

Corey-Chaykovsky 反应示意图

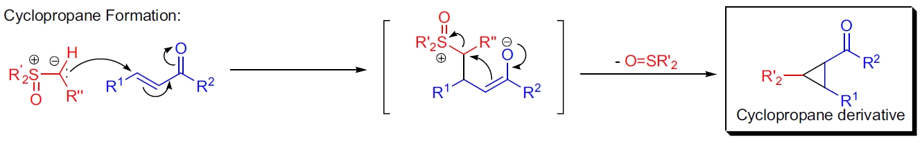
机理18-25

反应的第一步是硫氧鎓或硫鎓盐的 α-去质子化生成硫叶立德。随后,硫叶立德与羰基化合物发生亲核加成生成 β-氧鎓盐中间体,该中间体通过环化反应生成环氧化合物。如果反应底物是 α,β-不饱和羰基化合物,硫叶立德会与双键发生共轭加成,生成环丙基化合物。

Corey-Chaykovsky 反应机理 Corey-Chaykovsky 反应机理

合成应用

1. (+)-Phyllanthocin 的全合成:A.B. Smith 等人在合成 (+)-Phyllanthocin 的过程中利用 Corey-Chaykovsky 环氧化反应以高选择性将二酮中 C7 羰基转化为环氧基团。该反应在 DMSO-THF 混合溶剂中于 0 °C 进行,产率高达 95%26

Corey-Chaykovsky 应用1

2. (+)-Aphanamol I 和 II 的全合成:B. Wickberg 等人从柠檬烯出发,通过 Corey-Chaykovsky 环氧化反应和后续碱催化裂解反应构建了关键的 γ,δ-环氧醇中间体,从而完成了 (+)-Aphanamol 的全合成27

Corey-Chaykovsky 应用2

3. 环丙烷化在 (±)-Isovelleral 全合成中的应用:C.H. Heathcock 等人在高度立体选择性的全合成过程中,利用硫氧鎓叶立德对 α,β-不饱和酮进行环丙烷化生成关键中间体,并发现 THF 溶剂的效果优于 DMSO 条件29

Corey-Chaykovsky 应用3