Corey-Kim 氧化

Corey-Kim 氧化

重要性 机理 合成应用

重要性

[开创性文献1;综述2;改进与优化3-5]

Corey-Kim 氧化反应是一种高效的将醇氧化为醛或酮的方法,由 E.J. Corey 和 C.U. Kim 于 1972 年开发。该反应使用 N-氯代琥珀酰亚胺(NCS)、二甲基硫(DMS)和三乙胺(TEA),通过原位生成 S,S-二甲基琥珀酰亚胺基磺鎓氯化物(Corey-Kim 试剂)来完成氧化。该方法反应条件温和,对多官能团化合物及保护基的兼容性良好,但不适用于烯丙基或苄基醇,这些底物会主要转化为卤代化合物1-5。 尽管corey-kimr氧化反应能够允许反应在-25 °C下反应,而Swern氧化需要低温来保持活性,但是对于一些对NBS敏感的底物,该反应让然逊色于Swern氧化。

Corey-Kim 氧化反应示意图

机理2,4

Corey-Kim 氧化反应的第一步是二甲基硫与 N-氯代琥珀酰亚胺反应生成活性试剂 S,S-二甲基琥珀酰亚胺基磺鎓氯化物。随后,醇作为亲核试剂进攻该试剂生成烷氧基磺鎓盐。该中间体在三乙胺的作用下脱质子生成目标羰基化合物,同时二甲基硫被再生,可通过减压蒸发去除。改良的无气味 Corey-Kim 氧化中,使用十二烷基甲基硫代替二甲基硫,减少了恶臭5

Corey-Kim 氧化反应机理

合成应用

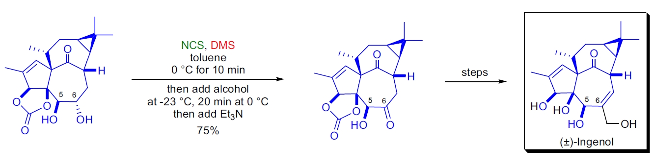
1. (±)-Ingenol 的全合成:I. Kuwajima 等人在 (±)-Ingenol 的全合成中,选择性地将三环二醇中较不阻碍的 C6 羟基氧化为 α-酮醇,使用 Corey-Kim 氧化法实现了高效转化10

Corey-Kim 应用1

2. (±)-Epi-Jatrophone 的全合成:L.S. Hegedus 等人在合成末阶段,利用 Corey-Kim 氧化高效地将 β-羟基酮转化为 1,3-二酮,产率卓越11

Corey-Kim 应用2

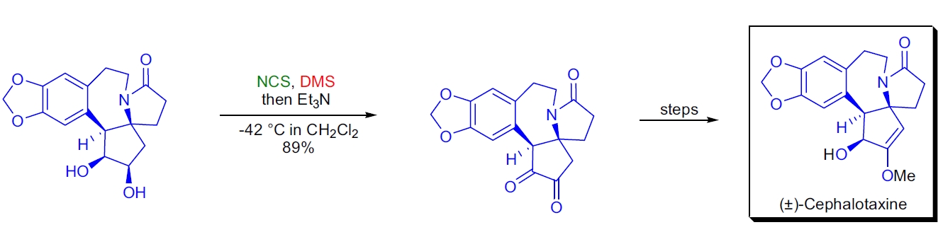
3. (±)-Cephalotaxine 的全合成:M.E. Kuehne 等人在最终阶段将四环顺式邻二醇氧化为 α-二酮。PCC 和 Swern 氧化均未成功,但 Corey-Kim 氧化在 -42 °C 下成功实现,产率达 89%12

Corey-Kim 应用3

4. LY426965 的合成:S.E. Denmark 等人通过 Corey-Kim 氧化法将 (E)-烯丙醇转化为氯化物,用于制备关键中间体 3,3-二取代烯丙基三氯硅烷13

Corey-Kim 应用4