Curtius 重排反应

Curtius 重排反应

重要性 机理 合成应用

重要性

[开创性文献1-5;综述6-10;改进与优化11-14;理论研究15-17]

Curtius 重排反应指酰基叠氮化物经热分解生成异氰酸酯的过程。此反应可由质子酸18和路易斯酸19催化,从而显著降低分解温度。酰基叠氮化物可通过以下方法制备: 1) 酸酐或混合酰基化合物与碱金属叠氮化物11,13或三甲基硅叠氮化物反应;20 2) 酰基肼与亚硝酸或四氟硼化硝酰反应;21 3) 羧酸与二苯基磷酰叠氮(DPPA)反应。12

Curtius 重排反应示意图

机理26-30

Curtius 重排的热分解过程大概率为协同机理,未发现自由酰基亚硝基中间体的证据15。例如,未检测到插入、加成或酰胺产物6。反应的活化熵值也与协同机理一致28。然而,光化学条件下的 Curtius 重排生成亚硝基,并随后经历典型的亚硝基反应。

Curtius 重排反应机理

合成应用

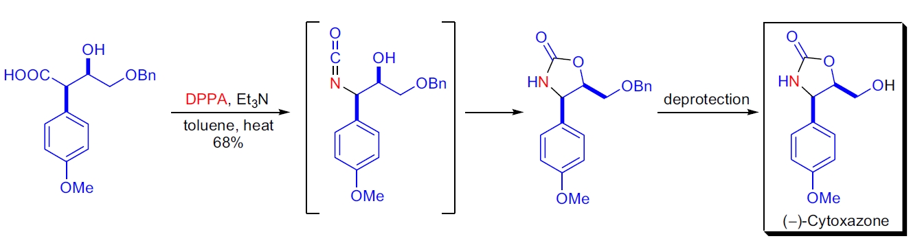
1. (–)-Cytoxazone 的对映选择性全合成:J.A. Marco 等利用 Curtius 重排从二苯基磷酰叠氮合成关键中间体,并通过自由羟基捕获异氰酸酯直接得到高产率的环氧唑烷酮。31

(–)-Cytoxazone 的合成

2. Streptonigrone 的全合成:D.L. Boger 使用 DPPA 在苯-水中处理羧酸,最终通过碱性水解得到伯胺产物。32

Streptonigrone 的合成

3. (±)-TAN1251A 的合成:K. Murashige 利用 Curtius 重排引入环状中间体中的关键氮原子。33

(±)-TAN1251A 的合成