Dakin-West 反应

Dakin-West 反应

重要性 机理 合成应用

重要性

[开创性文献1-3;综述4-6;改进与优化7-10]

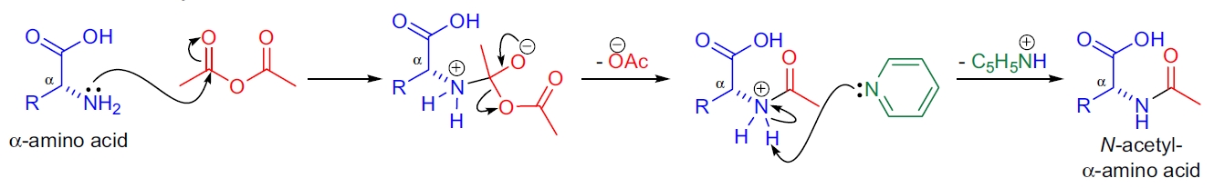
Dakin-West 反应是指 α-氨基酸在对称酸酐和碱(如吡啶)作用下,转化为 α-酰氨基烷基酮的过程。H.D. Dakin 和 R. West 于 1928 年首次报道了该反应2,3。该反应特点包括:1)一级和二级 α-氨基酸均可发生反应,但 β-氨基酸仅形成 N-酰化衍生物;2)α-氨基酸的 α-位必须有氢原子;3)最常用的酸酐是乙酸酐,也可使用丙酸酐;4)生成的产物为 α-酰氨基甲基酮或相应的乙基酮;5)碱通常为吡啶,也可使用烷基吡啶或醋酸钠;6)反应温度约 100 °C,但二级氨基酸需要更高温度;7)加入催化剂(如 DMAP)可在室温下进行反应8

Dakin-West 反应示意图

机理11-26,6

Dakin-West 反应分两步进行:首先,α-氨基酸与酸酐反应生成 N-酰化中间体;接着,N-酰化中间体在碱性条件下生成 α-酰氨基甲基酮。该反应机制涉及酰胺键的形成和后续的脱水重排。

Dakin-West 反应机理 Dakin-West 反应机理

合成应用

1. HIV-1 抑制剂的合成:E.B. Pedersen 等通过 Dakin-West 反应制备了 α-氨基酮盐酸盐,并将其用于合成一系列新型非核苷逆转录酶抑制剂27

HIV-1 抑制剂合成

2. 假肽类的合成:L. Cheng 等在温和条件下利用改良的 Dakin-West 反应合成了抑制凝血酶的假肽类似物。该反应在吡啶和三乙胺存在下进行,加入少量 DMAP 催化28

假肽类合成

3. 3,9-二氮双环[3.3.1]壬-6-烯-2-酮骨架的合成:R. Giger 等通过 Dakin-West 反应和 Pictet-Spengler 反应实现了此骨架的溶液相和固相合成10

假肽类合成

4. 双 PPARα/γ 激动剂的改进合成:A.G. Godfrey 等利用 Dakin-West 反应引入酮基,并通过 POCl3/DMF 转化为对应的噁唑衍生物29

假肽类合成