Darzens缩合反应

Darzens缩合反应

重要性 机理 合成应用

重要性

[开创性文献1-3;综述4-7;改进与优化8-16]

Darzens缩合反应是通过α-卤代酯与醛或酮在碱性条件下反应生成α,β-环氧酯(糖苷酸酯)的过程。该反应最早由 E. Erlenmeyer 报道,随后由 G. Darzens 进一步推广和优化1,3。此反应广泛适用于芳香醛酮、脂肪酮以及α,β-不饱和和环状酮等底物2

Darzens缩合反应示意图

机理24-29

Darzens缩合反应首先由碱对α-卤代酯进行去质子化生成碳负离子(烯醇负离子),然后与醛或酮发生加成生成卤代醇中间体。随后通过SNi反应闭环形成环氧酯。反应的产物立体化学通常偏向于反式构型,但可以通过改变溶剂、碱或取代基调整产物的对映选择性29

Darzens缩合反应机理

合成应用

1. (–)-Coriolin 的全合成:I. Kuwajima 等在三环骨架的关键构建步骤中利用 Darzens 类型反应生成螺环环氧化物。通过逆合成方式调整立体化学并结合NIS增强烯醇负离子的活性,最终成功实现所需构型的环氧化物30

Coriolin 合成

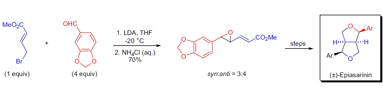
2. (±)-Epiasarinin 的全合成:P.G. Steel 等开发了一种从胡椒醛到 (±)-Epiasarinin 的五步合成路线,关键步骤包括 Darzens 缩合反应和烯丙基环氧化物-二氢呋喃重排反应31

Epiasarinin 合成

3. 钙通道阻断剂的合成:A. Schwartz 等通过手性诱导的Darzens缩合反应以对甲氧基苯甲醛和手性α-氯代酯为底物,制备了二对映体的糖苷酸酯,主产物经过晶体分离后进一步转化为地尔硫卓类药物32

Diltiazem 合成