Davis氧化反应

Davis氧化反应 (Davis oxaziridine oxidation)

重要性 机理 合成应用

重要性

[开创性文献1-3;综述4-7;改进与优化8-16]

Davis' 氧化反应是由 N-磺酰氧氮杂环丙烷(Davis 试剂)对底物进行氧化的反应。此反应具有高化学选择性且操作温和,可用于多种氧化反应,包括硫化物到亚砜和硒化物到硒氧化物、烯烃到环氧化物、胺到羟胺和胺氧化物等2,4,7。Davis' 氧化反应的一个主要应用是将烯醇负离子氧化为α-羟基羰基化合物(羟基酮)13

Davis' 氧化反应示意图

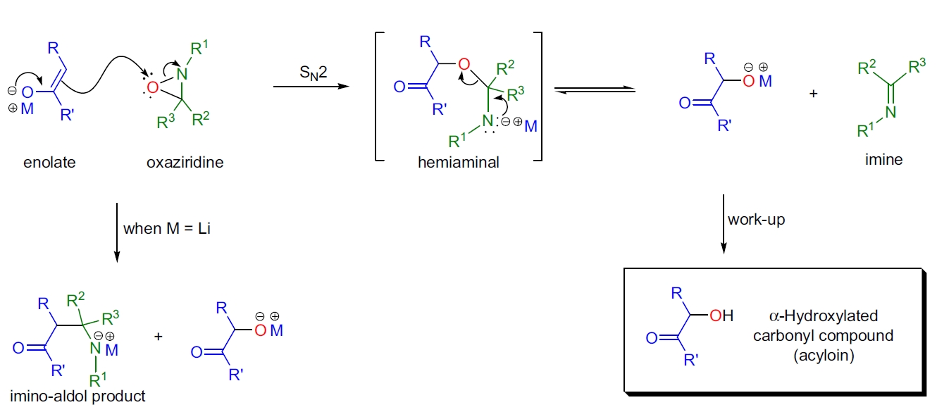
机理6,9,32-34

氧化反应的机理被认为是 SN2 型反应,并得到了理论和实验研究的支持23-25。在氧化硫化物生成亚砜时,反应的分子识别主要由立体效应决定,而在烯醇负离子氧化生成羟基酮时,反应通过开放的过渡态进行,以最小化非键相互作用33,36

Davis' 氧化反应机理

合成应用

1. Epothilone B 的全合成:J.D. White 等在 Epothilone B 的全合成中使用 Davis' 氧化反应对钠盐烯醇进行选择性氧化,生成具有正确立体化学的α-羟基化合物,产率为 71%37

Epothilone B 合成

2. Okadaic acid 的片段合成:C.J. Forsyth 等使用 Davis' 手性氧化试剂对内酯的锂盐进行选择性氧化,生成α-羟基化合物,产率为 61%,并具有高对映选择性(10:1)38

Okadaic acid 片段合成

3. Fumiquinazoline A 和 B 的全合成:B.B. Snider 等通过 Davis' 氧化反应氧化吲哚片段的双键,生成具有正确立体化学的产物,用于构建关键的异噁唑酮基团39

Fumiquinazoline 合成