二烯酮-苯酚重排反应

二烯酮-苯酚重排反应

重要性 机理 合成应用

重要性

[开创性文献1-3;综述4-8;改进与优化9-11;理论研究12]

在酸或碱催化下,或者光化学诱导下,环己二烯酮中烷基的迁移称为二烯酮-苯酚重排反应,广泛用于制备多取代的苯酚。1893年,A. Andreocci 报道了 santonin 在酸性条件下重排为 desmotroposantonin 的反应,但直到 1930 年才对该反应的起始物和产物进行详细表征。¹,³ “二烯酮-苯酚重排”这一术语由 A.L. Wilds 和 C. Djerassi 提出。¹³ 环己二烯酮(包括邻位和对位)可被视为“受阻芳香分子”,其中烷基的迁移将非芳香底物转化为芳香化合物。⁶ 二烯酮-苯酚重排仅需中等强度的酸性介质(如乙酸中加入硫酸、乙酸酐、路易斯酸性粘土等)⁹,反应放热显著,会生成非常稳定的芳香化合物。

二烯酮-苯酚重排反应示意图

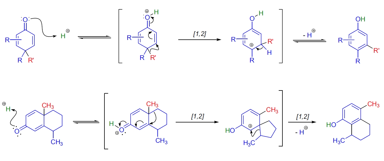
机理14-28

大多数二烯酮-苯酚重排涉及酸催化,其产物通常是 C-C 键的[1,3]-迁移的结果。通过 ¹⁴C 同位素标记研究表明,[1,3]-烷基迁移实际上是两个连续的[1,2]-烷基迁移的结果。¹⁴,¹⁵ 根据迁移基团的性质,还可能发生[1,2]、[1,3]、[1,4]、[1,5]、[3,3]、[3,4] 和 [3,5] 重排。⁶,⁷ 当迁移基团为苄基时,产物主要来自[1,5]-迁移,这类反应的速率比简单烷基的重排快几个数量级。如果迁移基团为烯丙基、丁二烯基或炔丙基,反应主要通过[3,3]-迁移而非[1,2]-迁移进行。以下机制图展示了对位环己二烯酮的酸催化重排生成相应的 3,4-二取代苯酚,以及双环二烯酮通过两个连续的[1,2]-迁移的重排过程。

二烯酮-苯酚重排反应机理

合成应用

1. 四取代和五取代苯酚的合成:A.G. Schultz 实验室开发了一种高效的合成路线,通过 4,4-二取代 2-苯基-2,5-环己二烯酮的光化学二烯酮-苯酚重排反应制备四取代和五取代苯酚。²⁹ 这些重排底物可通过芳香化合物的 Birch 还原-烷基化反应制备,随后用叔丁基过氧化物和催化量的 PDC 对初始二烯产物进行双烯氧化。用 366 nm 光照射,二烯酮发生区域选择性二烯酮-苯酚重排,以高产率生成苯酚。

二烯酮-苯酚重排反应应用1

2. Kidamycins 的模型研究:K.A. Parker 等人在 Kidamycins 的模型研究中开发了一种合成双 C-芳基糖苷的方法。³⁰ 通过 Lewis 酸介导的二烯酮-苯酚类型重排反应为关键步骤,调控糖基化区域选择性。生成的双 C-芳基糖基通过铂催化的氢化反应生成双糖苷,随后去硅化,得到目标 Kidamycin 模型。

二烯酮-苯酚重排反应应用2

3. 螺环二烯酮的重排:在各种条件(酸性和碱性)下,螺环二烯酮的重排反应可以生成取代的 6H-二苯并[b,d]吡喃-6-酮。³¹ D.J. Hart 等人表明,在水性硫酸中重排得到形式上 O-迁移的产物,而在三氟乙酸酐/三氟乙酸/硫酸中重排则主要生成 C-迁移产物。对于高度取代的螺环二烯酮系统,二烯酮-苯酚重排在不同反应条件下均表现出较好的性能。

二烯酮-苯酚重排反应应用3