Kulinkovich 反应
重要性
[开创性文献1,2;综述3-15;改进与优化16-23;理论研究24]
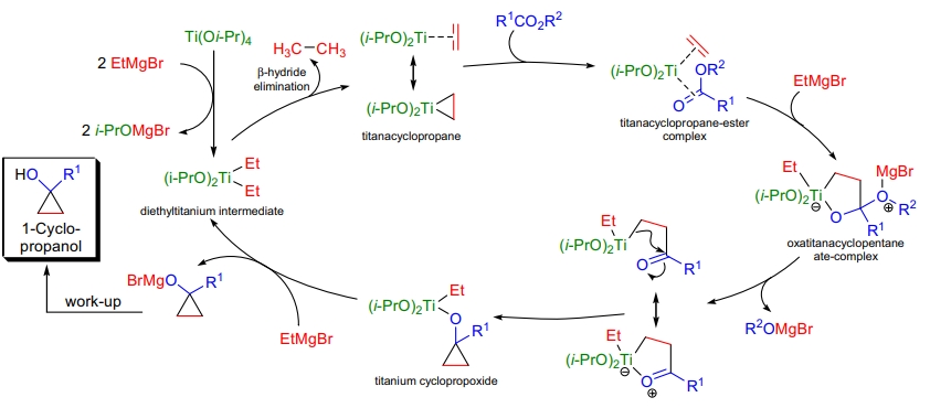
1989年,O.G. Kulinkovich 报道了将简单羧酸酯与过量溴化乙基镁在一当量钛酸四异丙酯的存在下反应生成 1-烷基环丙醇的方法1。该反应也可使用催化量的 Ti(Oi-Pr)4,仅需两当量 Grignard 试剂即可完成。该钛(II)催化的一锅法反应是将羧酸酯和酰胺转化为 1-烷基环丙醇和 1-烷基环丙胺的有效方法,称为 Kulinkovich 反应。
- 活性物种是钛杂环丙烷中间体,它作为 1,2-二碳负离子等效物双重烷基化羰基;
- 较复杂的 Grignard 试剂生成 1,2-cis 二取代环丙醇,具有良好的非对映选择性;
- 生成 1,2-二取代环丙胺的对映选择性较低;
- 该反应对 R1 基团的性质敏感(芳香酯不反应),且 R1 和 R2 基团过于庞大时会降低产率;
- 加入末端烯烃时,反应产物中会包含这些烯烃的环丙基衍生物。
机理
[参考文献25-28]
Kulinkovich 反应的催化循环从 Ti(Oi-Pr)4 与两当量乙基溴化镁反应生成二乙基钛中间体开始。随后发生 β-氢消除生成乙烷和钛杂环丙烷中间体。该中间体作为 1,2-二碳负离子与羧酸酯反应,完成双重烷基化并形成环丙醇产物。
合成应用
1. (S)-cleonin 的合成: M. Taddei 研究组利用 Kulinkovich 反应从 (R)-丝氨酸合成了抗肿瘤抗生素 cleomycin 的关键组分 (S)-cleonin29。
2. N,N-二甲基双环环丙胺的合成: M.M. Joullié 等通过 Kulinkovich 反应的分子内变体实现了 N-烯丙氨基酸二甲酰胺到生物活性环丙胺的转化30。
3. 双环[5.3.0]癸酮的合成: J.K. Cha 等人开发了一种从非环状底物合成双环[5.3.0]癸酮的立体选择性方法,通过 Kulinkovich 反应生成双环氨基环丙烷并进一步氧化环化31。