Nazarov环化反应

Nazarov环化反应

重要性 机理 合成应用

重要性

[开创性文献1-6;综述7;改进与优化8,9]

背景与历史

1903年,D. Vorländer 和其合作伙伴发现,二苯乙烯酮与浓硫酸及乙酸酐反应后,再经氢氧化钠水解生成一个环状酮醇,尽管当时其结构尚不明确。1 在20世纪30年代,C.S. Marvel 团队研究了炔二烯的酸催化水合反应。2,3 随后在20世纪40到50年代,I.N. Nazarov 对其进行了详细研究,探讨了烯丙基乙烯基酮中间体环化为2-环戊烯酮的反应机理。4-6

Nazarov环化反应是通过原酸或路易斯酸催化的双乙烯基酮(及其酸敏感前体)环闭反应,经五碳链正离子形成对应的2-环戊烯酮。

反应概述

Nazarov环化反应具有以下特点:

  1. 任何能够生成关键五碳链正离子或其等效物的化合物都可以作为底物。
  2. 烯丙基乙烯基酮可原位异构化为双乙烯基酮。
  3. α和α'位的电子供体取代基加速环化,而β和β'位取代基则减缓反应。
  4. 当酮基两侧的取代基为环状时,形成稠环结构。
  5. 引入三烷基硅或锡基团可避免Wagner-Meerwein重排并增强区域选择性。
Nazarov环化反应的重要性

机理

[参考文献32-37,15,10]

Nazarov环化反应机理属于4π电环化反应的一种。 首步是路易斯酸与底物羰基配位生成五碳链正离子,随后发生顺旋电环化形成环状正离子。 环化正离子可被亲核试剂捕获、去质子化或发生进一步重排。 对于手性双乙烯基酮,电环化可能生成两个对映异构体,其选择性受立体和扭转效应控制。

Nazarov环化反应机理

合成应用

1. (±)-Trichodiene的立体选择性合成: K.E. Harding 使用Nazarov环化反应构建了具有两个相邻季碳中心的目标分子。38

应用示例1

2. (±)-Silphinene的合成: M. Miesch 通过硅导向的Nazarov环化反应完成了该三环化合物的合成。39

应用示例2

3. (±)-Desepoxy-4,5-didehydromethylenomycin A methyl ester的合成: M. Mikolajczyk 等通过Nazarov环化反应合成了对应的环戊烯酮。40

应用示例3

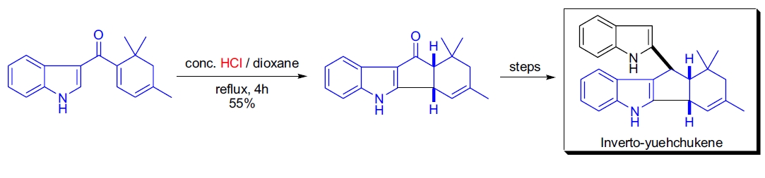
4. Yuehchukene及其衍生物的合成: K.-F. Cheng 利用Nazarov环化反应构建五元环结构。41

应用示例4